Study: Depending on Cars Does Make Some People Happier … To a Point
People who know me as a biking, walking and transit advocate might be surprised to learn that I come from a family of people who love to drive.
I come from the kind of dyed-in-the-wool Midwesterners who will happily pick a 12-hour road trip over a three-hour flight every time, or schlep 150 miles to a family dinner, turn around, and drive straight home without complaint. My 92-year-old grandmother often reminisces about the many happy hours she spent on the long commute from her home in Michigan, where she had just met my grandfather, to her long-term job as in Indiana, which she didn’t quit for years after they married. Either one of them could have gotten a new position the other side of the border, but they didn’t; for my grandmother, at least, it simply wasn’t worth it. She relished the hum of the open road, the car stereo blasting her favorite books on tape, or just a few hours to spend alone with her thoughts.

The inconvenient truth is, many of the people I grew up with don’t seem to mind the fact that their communities have vanishingly few transit options, bike lanes, or even sidewalks, even if they grumble about the price of gas and insurance and often vote for politicians who they believe will drive those costs down. They do not feel like they are forced to depend on cars, even if they would undoubtedly struggle to get to work, or the grocery store, or simply to leave their homes without one. They just love the experience of driving — if not always their cars themselves, which tend towards the kind of used SUVs that can handle lake-effect snow — and have chosen a daily lifestyle that requires them to do it constantly, even when other options were available to them.
Suffice it to say, as an advocate who’s devoted my career to fighting for a broader range of mobility choices, I’ve had some awkward conversations at the holidays over the years. More to the point, though, I’ve often wondered what to do with the fact that a lot of Americans like getting behind the wheel — and not only because our policy choices have made it dangerous, wildly inconvenient, and socially stigmatized to get around in any other way.

A recent study I ran across from Arizona State University, though, seems complicate that concern.
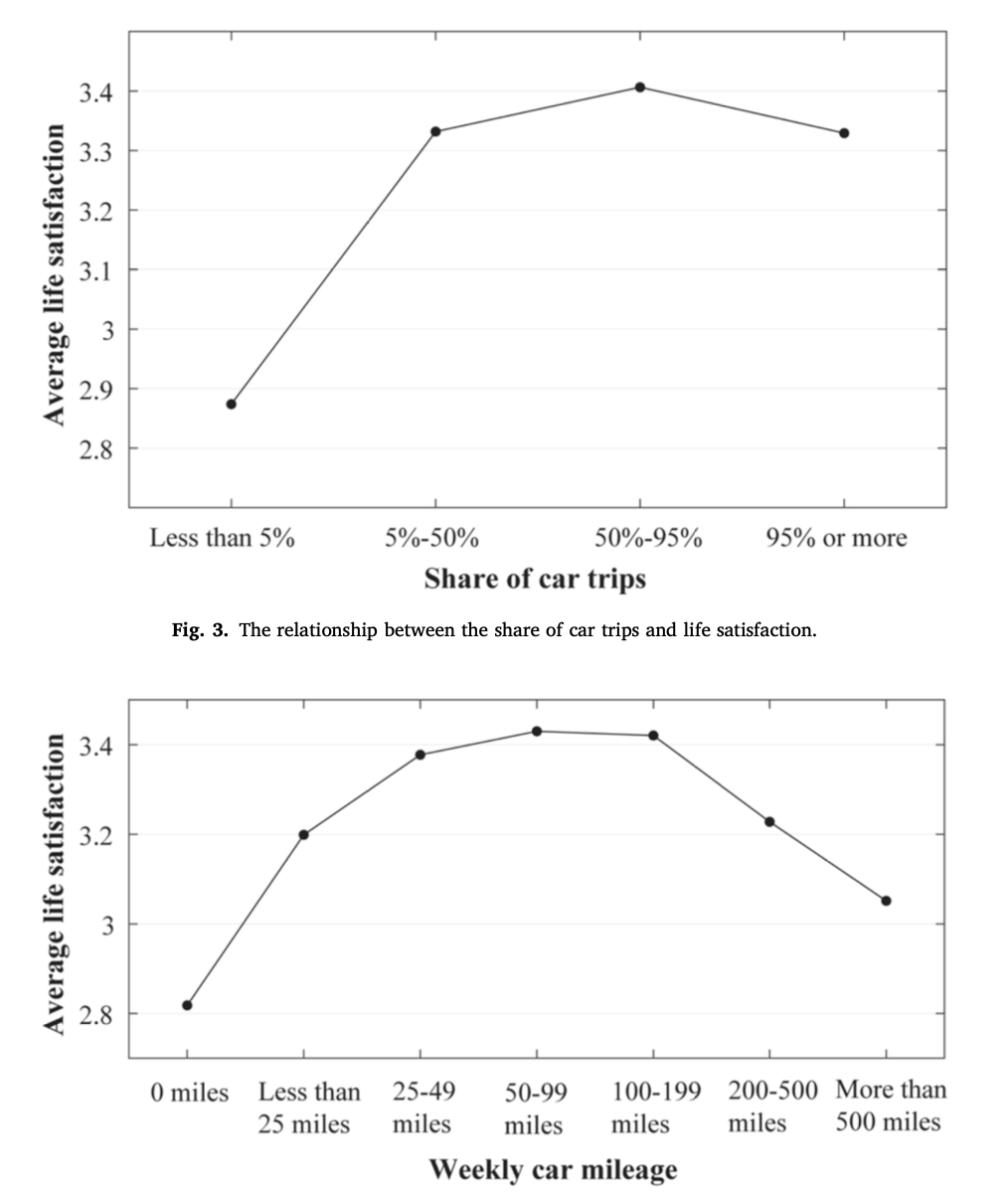
According to a representative survey of 2,155 adults, Americans who take more than 50 percent of their trips in an automobile report lower levels of overall “life satisfaction” than people who drive less of the time. Super-drivers who logged 200 miles a week or more every week also seem to be less happy than people who traveled less in a car. And those findings held true even when researchers controlled for other factors that might impact a respondent’s core experience of the world, like their income level, race, and gender.
According to the most recent National Household Travel Survey, the average American takes 87 percent of his daily trips in a personal vehicle, and travels an average of 280 miles a week — meaning most people passed those tipping points long ago.
The study isn’t an out-and-out win for team “cars are making us miserable.” Survey respondents’ overall “life satisfaction” actually rose in tandem with the percentage of trips they took and miles they traveled inside of private automobiles, at least before they hit those 50 percent or 200-mile-a-week tipping points. In car dependent contexts, trying to get around without one can be a miserable, deadly, and demoralizing undertaking — and typically, only those who truly have no other choice even dare to try.
“Many Americans drive as much as they do because they have no other option, even though it comes at a cost to their well-being,” said Rababe Saadaoui, the leader author of the paper. “To inspire change, we need to provide practical solutions that help people find a balance — enough mobility to keep driving when necessary, but not depending on the car for every trip.”
Saadaoui suspects that creating “walkable communities, car-free neighborhoods, mixed-use urban spaces, and compact development patterns” can make car-dependent people “more likely to embrace [multimodality] and reduce their car dependence.”
She cautioned, though, that those moves alone won’t totally extinguish Americans’ so-called love affair with the automobile — and ultimately, that shouldn’t be our goal.
“The issue isn’t really with car use, but with being too reliant on cars,” she added. “We should acknowledge that cars do offer a lot of benefits, like flexibility, convenience, and freedom, which may explain why they’re linked to higher life satisfaction. So, the issue isn’t cars themselves, but finding a balance where we don’t become overly dependent on them.”
The harder question, of course, is how to do that in a culture that equates even the most minor attempt to make places less car-dependent with a full-blown assault on car-dependent people — not to mention all the things they love, identify with, and hold dear about life behind the wheel.
As detailed by Grant Ennis in his fascinating book Dark PR, “The fossil fuel industry, the road industry, [and] the automobile industry all use the same narratives to distract us from [dangerous] structures that are all around us,” spending billions of dollars lobbying against even modest multimodal improvements — and in favor of massive, destructive highway projects — all in the name of preserving and expanding motorists’ freedom.
That this freedom is not even remotely under threat doesn’t really matter. Automobility manipulates Americans into believing that it is, transforming even the innocuous “15-minute city” into an “open air prison” and the humble bike lane into a devious government blockade aimed at trapping motorists in gridlock.
Add in the economic incentive of protecting the unrestricted use of a depreciating asset that costs $12,300 a year and a hefty dose of love, and it’s no wonder why so many Americans don’t take multimodalism lying down. The Arizona State survey, after all, showed that our satisfaction with our entire lives is profoundly entangled with our transportation choices — not our satisfaction with just the hours we spend in transit.
If we want to peel back the layers of car culture, we should accept that driving often does make people’s lives better, even if that happiness is relative to an auto-centric context that’s poisoning many aspects of American life. And to actually move the needle, perhaps we should focus on the “tipping point” when that happiness starts to slip, despite everything we’ve done to make driving the only and best way to get around — and offer drivers another, better option for some small portion of their journeys, rather than framing bike lanes, sidewalks and buses as a concession they must make to everyone else.
Over time, maybe even people like my relatives will learn to recognize those few moments when they actually don’t love driving so much, and try another mode. But first, we have to pick our battles carefully and make sure that way exists.
Because as Saadaoui succinctly put it: “In less car-dependent places, people may reach that tipping point much sooner.”
Read More:
Streetsblog has migrated to a new comment system. New commenters can register directly in the comments section of any article. Returning commenters: your previous comments and display name have been preserved, but you'll need to reclaim your account by clicking "Forgot your password?" on the sign-in form, entering your email, and following the verification link to set a new password — this is required because passwords could not be carried over during the migration. For questions, contact tips@streetsblog.org.